The Lawrence Berkeley National Lab has released a new analysis, “Shedding light on large-scale solar impacts: an analysis of property values and proximity to photovoltaics across six U.S. states,” published in Energy Policy. The report looked at home transactions and large-scale solar project footprints in California, Connecticut, Massachusetts, Minnesota, New Jersey and North Carolina (which together account for over 50% of the installed megawatt capacity of large-scale solar in the United States). The group analyzed over 1,500 solar projects and over 1.8 million home sale transactions and found varying results across all states.
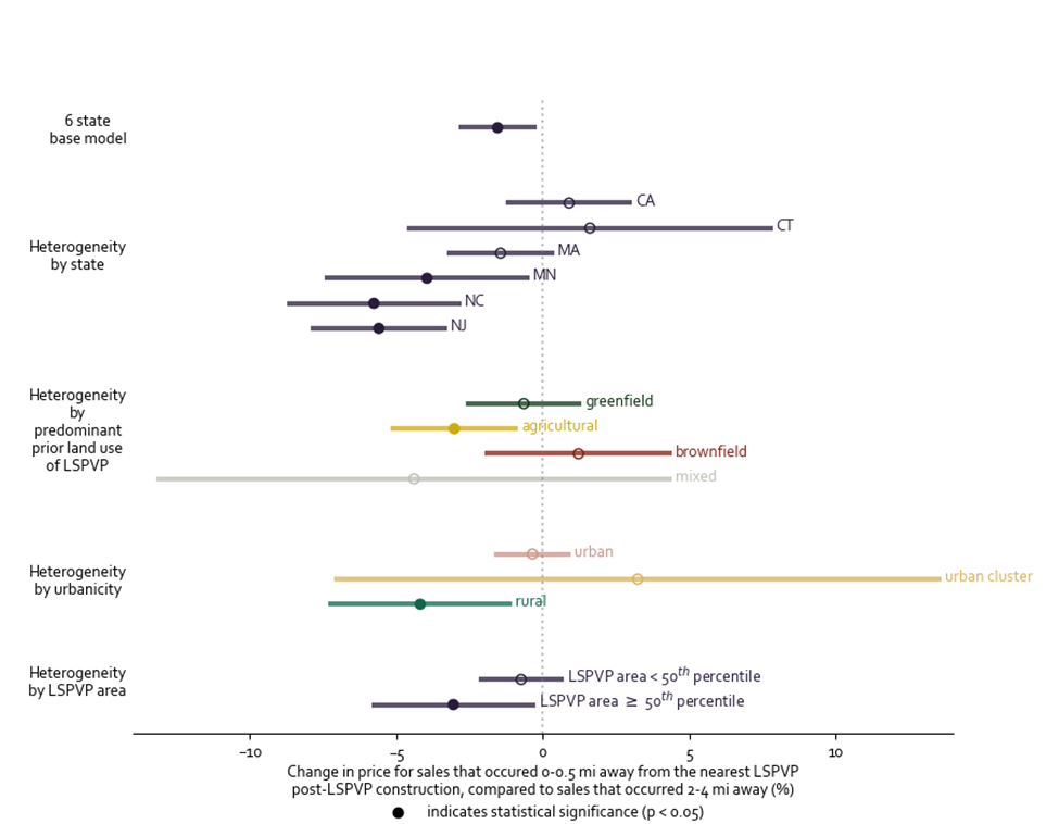
For homes within 0.5 miles of a large-scale solar project compared to homes 2 to 4 miles away, Berkeley Lab found a reduction in home sale prices in Minnesota (4% reduction), North Carolina (5.8%) and New Jersey (5.6%) and no statistically significant effects in the other three states (California, Connecticut, Massachusetts). Using data from all six states, Berkeley Lab identified a home sale price reduction of 1.5% for homes within 0.5 miles of a large solar array compared to homes 2 to 4 miles away. For the mean selling price in the sample of roughly $400,000, a 1.5% diminution equates to roughly $6,000.
Certain cohorts of large-scale solar projects were found to have either higher or lower sale price effects within 0.5 miles than the sample-wide average, or no statistically significant effects at all within that distance. Those heterogeneous impacts and their implications are summarized in Figure 1 and discussed briefly below.

Figure 1. Results from base six-state model as well as each heterogeneity analysis, showing average home price effects for cohorts of homes 0-0.5 miles away from nearest constructed large-scale photovoltaic project (LSPVP) as compared to those 2-4 miles away. Range of change in price represents the 95th percent confidence interval.
Only large solar projects developed on previously agricultural land, near homes in rural areas, and the largest utility-scale project sizes were found to be linked to adverse home sale price impacts within 0.5 mile.
When Berkeley Lab accounted for the prior land use, the population density in the area of the sold homes and the size of the solar project, the group found adverse home sale price impacts only found to be statistically significant for projects on previously agricultural land, projects near homes in rural areas (low population density) and homes near the largest solar projects in the data set (roughly 12 acres, equating to between 4 and 7 MW).
Berkeley Lab did not find evidence of statistically significant effects on home sale prices near large solar projects developed on greenfield, brownfield and mixed land use developments. Further, homes in urban (high population density) or urban cluster (medium population density) regions were not found to be impacted significantly. Finally, Berkeley Lab determined there were no effects on sale prices for homes near large solar projects with an area smaller than 12 acres.
A fuller understanding of the economic impacts of large solar projects, and the cause of the impacts detected in this study, will require a variety of research methods, sites and scales.
This study contributes to a growing body of evidence on the impacts of large solar projects on residential home sale prices, using a unique dataset of solar project footprints and extending the analysis to geographies that have not been studied before. Although the analysis provides fairly precise measurements of correlations likely with little bias, determining the causation of these impacts is beyond the scope of this work, Berkeley Lab says. The analysis did not include consideration of site features or site design — for example, setbacks or landscaping features, which could play a role in nearby property valuation. Further, the study does not examine the attitudes or sentiment of the neighboring communities, or of home sellers and buyers, toward the solar projects, which could influence property valuations near solar projects. Finally, the study did not examine broader economic impacts or benefits to host communities from large-scale solar projects, which might positively impact home sale prices.
Berkeley Lab says the heterogeneity of the results also indicates the importance of place and project-specific assessments of solar project development and policy practices. This heterogeneity may point to the importance of studying new siting strategies for rural, large or agricultural installations — for instance, the co-location of agricultural land uses and solar development.
More information about the report can be found here: https://emp.lbl.gov/publications/shedding-light-large-scale-solar





Very interesting to see the impacts of large-scale solar installations home home value and property value. As solar energy infrastructure expands throughout the US, I wonder if the slightly negative impacts on home and property values will level out and/or turn positive.